|
2ª |
GRUPO I/J - PROVA DE MATEMÁTICA |
Na divisão dos lucros com seus 20 acionistas, uma empresa distri-buiu R$ 600,00 entre os preferenciais e R$ 600,00 entre os ordinários. Sabe-se que cada acionista preferencial recebeu R$ 80,00 a menos do que cada acionista ordinário.
Determine quantos acionistas preferenciais esta empresa possui.
Cálculos e respostas: AP no de acionistas preferenciais AO no de acionistas ordinários AO + AP = 20 AO = 20 - AP
600 (AP 20 + AP) = 80 AP(20-AP) 1200 (AP 10) = 80 AP(20-AP) 15AP 150 = 20AP AP2 AP2 5AP 150 = 0
O número de acionistas preferenciais é 15. |
2a Questão: (2,0 pontos)
No triângulo retângulo representado abaixo
cada um dos catetos mede 3 cm.

Considere um ponto C da hipotenusa e o retângulo ABCD, sendo x a medida de
.
Determine:
Cálculos e respostas: S = x . h Mas, AEF ~DCF Logo, Assim, h = 3 - x
|
||||||||||||||||||||||||||||
Cálculos e respostas: a) S = x(3 x) = 3x x2 , 0 £ x £ 3
b) 0 < S £ 1,25 3x x2 £ 1,25
Raízes : Logo,
Por outro lado,
0 < x < 3 Logo,
|
3a Questão: (2,0 pontos)
Considere o cubo de vértices A, B, C, D, E, F, G e H representado na figura abaixo.

Sabendo que a área do triângulo DEC é
m2,
calcule o volume da pirâmide cujos vértices são D, E, G e C.
Cálculos e respostas:
Considerando x a aresta do cubo, temos
Assim,
O volume da pirâmide será dado por
|
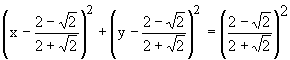
4a Questão: (2,0 pontos)
A circunferência C1,
de raio 1, é tangente aos eixos coordenados, conforme representação abaixo.

Determine a equação da circunferência C2, tangente simultaneamente aos eixos coordenados e à C1.
Cálculos e respostas: Nestas condições, o centro está sobre a reta y = x, portanto sua equação é (x a)2 + (y a)2 = r2. Como a = r, tem-se (x r)2 + (y r)2 = r2 Resta determinar o valor de r No triângulo isósceles PQR:
Cálculos e respostas:
|
5a Questão: (2,0 pontos)
Determine a relação entre os números reais a e b de modo que as igualdades
1 + cos x = a sen x e 1 cos x = b sen x,
com x ¹ k p
, k Î ,
sejam satisfeitas simultaneamente.
Cálculos e respostas:
sen2 x = ab sen2 x Como x ¹ k p , temos que ab = 1 |